The U.S. Fish and Wildlife Service released a Biological Opinion on February 15, 2023 as part of a Supplemental Draft Environmental Impact Statement (EIS) regarding the use of aerial fire retardant on National Forest lands across the U.S. This supplemental EIS will implement recommendations made in a 2020 Supplemental Information Report, and will add to the existing EIS completed by the Forest Service in 2011. The opinion was issued in response to the USDA Forest Service Biological Assessment for Fish and Wildlife Service Species transmitted to the U.S. Fish and Wildlife Service in 2021.
If finalized, the Supplemental Environmental Impact Statement will establish additional “avoidance areas” that prohibit the use of fire retardant within Endangered Species Act threatened, endangered, proposed, or candidate species habitat; mapped avoidance areas for regional forester sensitive species; in waterways or their buffers, where water is present; or avoidance areas mapped by the local forest unit. The proposed action will also issue aircraft operational guidance; avoidance area mapping requirements; and annual coordination, reporting, and monitoring requirements.
The preferred alternative 3 will “reword” parts of the existing Environmental Impact Statement. Additionally, the preferred alternative will drop the current Guidelines for Aerial Delivery of Retardant or Foam Near Waterways issued in 2000, in favor of the 2008 Reasonable and Prudent Alternatives. This change will establish guidelines dictating what circumstances shall apply while dropping fire retardant in “avoidance areas”.
Under the 2000 Guidelines, there are three exceptions to using fire retardant in avoidance areas. For protection of life and property, when alternative line construction tactics are unavailable, and when damage to natural resources outweighs loss of aquatic life. Under the 2008 guidelines, there is only one exception. For protection of human life or public safety.
There are two types of avoidance areas.
- Terrestrial avoidance areas include areas on land where threatened, endangered, proposed, candidate, or regional forester sentive plant and animal species habitat exists. This also potentially includes cultural and historical sites.
- Hydrographic avoidance areas include all intermittent and continuous waterways, lakes, rivers, and any area where water is present. This also includes a 300 foot buffer zone surrounding these areas.
The current guidelines produced in 2011 created multiple avoidance areas (seen in the map below) that have placed limitations on wildfire suppression efforts. In addition to these areas, the Supplemental Environmental Impact Statement will update the list of avoidance areas to include plants and animals that recently gained endangered species status.
| National Forest | Avoidance area % |
|---|---|
| Tonto | 32.23% |
| Prescott | 29.04% |
| Coconino | 21.77% |
| Coronado | 36.47% |
| Apache Sitgreaves | 26.16% |
| Kaibab | 23.03% |
The map below shows exactly how extensive fire retardant avoidance areas are in Arizona. This data is provided directly from the US Fish and Wildlife Service.
Red areas are existing Terrestrial and Hydrographic Avoidance Areas established in 2011.
Yellow areas are currently designated as critical endangered species habitat and therefore will become Terrestrial and Hydraulic Avoidance Areas under this new proposal.
It is important to note, this is not a complete depiction of the impact of avoidance areas on National Forest land. There are numerous plant and animal species, that range from candidate to endangered status, which don’t have protected critical habitat currently designated. Regional sensitive plant and animal designations are not shown on this map either. Therefore, the amount of designated fire retardant avoidance area is likely much larger with a potential to consume nearly all National Forest land in Arizona.
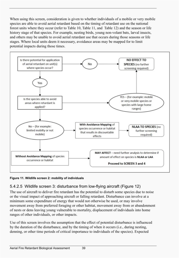
According to the Biological Opinion, a series of four Wildlife Screens, relating to the use of fire retardant, will take place during the designation of Critical Habitat under the Endangered Species Act. As existing plants and animals with protected status gain critical habitat designations, more and more land will be added to the list of avoidance areas.
Take a look at the images below to see how the screening process works.





Forest Service Project Documents
Unfortunately, we have missed comments on this proposed action. Because this is a nationwide action, we suggest you contact your members of Congress and voice your opinion. It could be any member of the U.S. Congress.
















